Κάτι τρέχει στον Έβρο
Η Έκθεση Βιβλίου δηλώνει για 27η χρονιά «παρούσα» στην παραλιακή της Αλεξανδρούπολης
Η γιορτή της ανάγνωσης, της ψυχαγωγίας και της φαντασίας διοργανώνεται για ακόμη μια φορά στην Λεωφόρο Βασιλέως Αλεξάνδρου στην Αλεξανδρούπολη, και μας προσκαλεί να βρεθούμε για ακόμη ένα καλοκαίρι στην μεγάλη αγκαλιά των γνώσεών της.
Ο λόγος για την 27η Έκθεση Βιβλίου που αποτελεί θεσμό για την πρωτεύουσα του Έβρου, ένα πολιτιστικό γεγονός στο οποίο δίνουν κάθε χρόνο το παρόν μικροί και μεγάλοι.
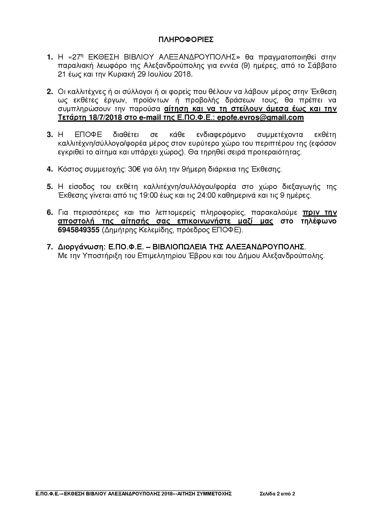
Η φετινή Έκθεση θα λάβει χώρα από το Σάββατο 21 Ιουλίου έως και την Κυριακή στις 29 του ίδιου μήνα, με πλήθος παράλληλων δράσεων για όλες τις ηλικίες και τα γούστα.
Η Έκθεση διοργανώνεται από τα τοπικά βιβλιοπωλεία, με τη στήριξη της Δημοτικής Αρχής και υπό την αιγίδα του Εμπορικού Επιμελητηρίου Έβρου.
Τα περίπτερα στην 27η διοργάνωση θα είναι 11, με ελληνικούς και ξένους τίτλους και νέες και παλιές εκδόσεις βιβλίων που θα κεντρίσουν το ενδιαφέρον μικρών και μεγάλων!
Η Ένωση Πολιτιστικών Φορέων Έβρου, ως διοργανώτρια αρχή, απευθύνει κάλεσμα προς όλους τους συλλόγους και φορείς να συμμετέχουν στη διοργάνωση, ως εκθέτες έργων, προϊόντων ή προβολής δράσεων τους, να πρέπει να συμπληρώσουν αίτηση και να τη στείλουν άμεσα έως και την Τετάρτη 18/7/2018 στο e-mail της Ε.ΠΟ.Φ.Ε.: epofe.evros@gmail.com.
Κόστος συμμετοχής: 30€ για όλη την 9ήμερη διάρκεια της Έκθεσης.
Η είσοδος του εκθέτη καλλιτέχνη/συλλόγου/φορέα στο χώρο διεξαγωγής της Έκθεσης γίνεται από τις 19:00 έως και τις 24:00 καθημερινά και τις 9 ημέρες.
Η Έκθεση Βιβλίου μας προσκαλεί λοιπόν να την επισκεφθούμε για ακόμη μια χρονιά, στηρίζοντας τους επιχειρηματίες και την πολιτιστική παράδοση της Αλεξανδρούπολης.
Μαρίνα Κριτού
Η αίτηση της Ε.ΠΟ.Φ.Ε για συμμετοχή στην 27η Έκθεση Βιβλίου



- Με λαμπρότητα ο εορτασμός της Παναγίας Καμαριώτισσας στη Σαμοθράκη (photos)
(25-04-2025) - Για λόγους ασφαλείας αφαιρέθηκαν κούνιες σε πάρκο της Αλεξανδρούπολης
(25-04-2025) - Πάλι κρούσμα ευλογιάς αιγοπροβάτων στη Σαμοθράκη
(25-04-2025) - Διαμαρτύρεται για τις αυξήσεις στο νερό η Λαϊκή Συσπείρωση στην Αλεξανδρούπολη
(25-04-2025) - Τα ονόματα τριών πρώην Δημάρχων Αλεξανδρούπολης δόθηκαν στις Αποθήκες του λιμανιού
(25-04-2025)
EN
TR






